• Institution: LOCKSS
LOCKSS

Development of Potential Pharmacodynamic and Diagnostic Markers for Anti-IFN-α Monoclonal Antibody Trials in Systemic Lupus Erythematosus

(Downloading may take up to 30 seconds. If the slide opens in your browser, select File -> Save As to save it.)

Click on image to view larger version.

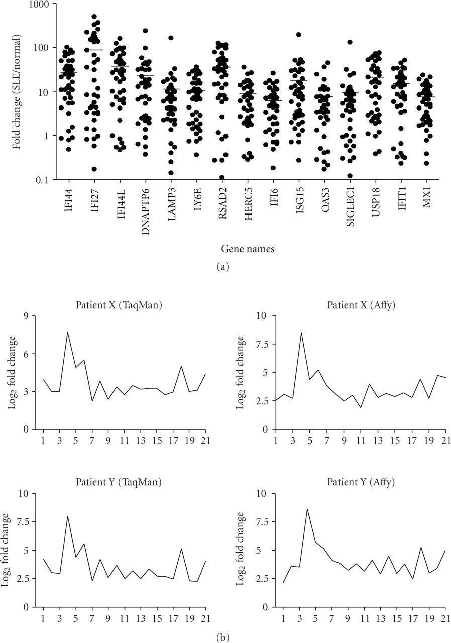
Figure 4
Figure 4

TaqMan QRT-PCR confirmed the overexpression of IFN-α/β-inducible genes in WB of SLE patients. (a) Relative fold changes of 15 IFN-α/β-inducible genes (out of the 40 assayed) in SLE patients were compared with healthy donors (Formula for all). Averages of relative mRNA levels of genes in the pooled RNA from 24 healthy donors were scaled to 1 based on TaqMan QRT-PCR assays. Horizontal bars represent average fold change. (b) TaqMan QRT-PCR validation of overexpression of the 21-gene panel of IFN-α/β-inducible genes in WB of SLE patients as determined by whole genome array. The relative overexpression of 21 IFN-α/β-inducible genes in 2 SLE patients is shown via (left) microarray and (right) TaqMan assays. Correlation coefficients (r) between TaqMan QRT-PCR and microarray were 0.986 and 0.989 for patient X and Y, respectively. IFN = interferon; QRT-PCR = quantitative real-time reverse transcriptase polymerase chain reaction; SLE = systemic lupus erythematosus.

This Article

  1. Hum Genomics Proteomics vol. 1 no. 1